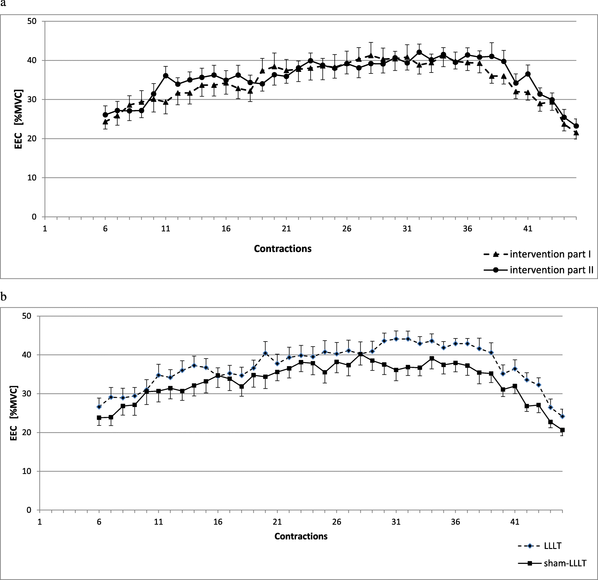
Fig. 3

Force tracings of electrically evoked contractions of the quadriceps muscle (from the sixth to the last contraction) (a) in the whole group in part I and part II of the study and (B) for electrical stimulation preceded by LLLT irradiations and sham-LLLT interventions. EEC – electrically evoked contractions; MVC – maximal isometric voluntary contraction; LLLT – neuromuscular electrical stimulation preceded by low level laser irradiation; sham-LLLT – neuromuscular electrical stmulation preceded by sham low level laser intervention; values are means ± SE; differences between part I and part II (a) as well as between LLLT and sham-LLLT interventions (b) were not significant (p > 0.05 for group or group and time interaction).